Abstract. A novel remarkably simple solvent-free and catalyst-free synthesis of benzazoles from alkylamines and o-hydroxy/amino/mercaptan anilines using elemental sulfur as traceless oxidizing agent has been developed.
xxxxxxxxxxxxxxxxxxxxxxxxxxxxxxxxxxxxxxxxxxxxxxxxxxxxxxxxxxxxxxxxxxxxxxxxxxxxxxxxx
Thanh Binh Nguyen,* Ludmila Ermolenko, and Ali Al-Mourabit
Org. Lett. 2012, 14, 4274.
DOI: 10.1021/ol3020368
Nguyen, T. B.; Ermolenko, L.; Almourabit, A. Org. Lett. 2012, 14, 4274.
Abstract. An efficient
and selective multicomponent oxidative coupling of two different
aliphatic primary amines into thioamides by elemental sulfur under
solvent-free conditions has been developed.
xxxxxxxxxxxxxxxxxxxxxxxxxxxxxxxxxxxxxxxxxxxxxxxxxxxxxxxxxxxxxxxxxxxxxxxxxxxxxxxxx
Thanh Binh Nguyen,* Ludmila Ermolenko, and Ali Al-Mourabit
Heterocycles 2012, 86, Prof. Dr. Ei-ichi Negishi's Special Issue, 555.
DOI: 10.3987/COM-12-S(N)53
Nguyen, T. B.; Ermolenko, L.; Almourabit, A. Heterocycles 2012, 86, 555.
Abstract. A convenient room-temperature one-pot procedure for the preparation of benzimidazoles derivatives from N-arylamidines has been developed. The reaction of N-aryl-N'-chloro amidines, generated by the treatment of N-aryl amidines with N-chlorosuccinimide,
in presence of sodium hydroxide provides benzimidazoles in good to
excellent yields. Nitrogen anion generated in situ
from succinimide (by-product of the chlorination step using NCS) and
hydroxide anion was found to be highly effective as Brønsted base to
promote the cyclization into benzimidazole of N-aryl-N'-chloroamidine.
xxxxxxxxxxxxxxxxxxxxxxxxxxxxxxxxxxxxxxxxxxxxxxxxxxxxxxxxxxxxxxxxxxxxxxxxxxxxxxxxx
Thanh Binh Nguyen,* Jonathan Sorres, Minh Quan Tran, Ludmila Ermolenko, and Ali Al-Mourabit
Org. Lett. 2012, 14, 3202.
DOI: 10.1021/ol301308c
Nguyen, T. B.; Sorres, J.; Tran, M. Q.; Ermolenko, L.; Almourabit, A. Org. Lett. 2012, 14, 3202.

A novel method of transamidation of
carboxamides with amines using catalytic amounts of readily available
boric acid under solvent-free conditions has been developed. The scope
of the methodology has been demonstrated with (i) primary, secondary,
and tertiary amides and phthalimide and (ii) aliphatic, aromatic,
cyclic, acyclic, primary, and secondary amines.
xxxxxxxxxxxxxxxxxxxxxxxxxxxxxxxxxxxxxxxxxxxxxxxxxxxxxxxxxxxxxxxxxxxxxxxxxxxxxxxxx
Thanh Binh Nguyen, Olivier Lozach, Georgiana Surpateanu, Qian Wang, Pascal Retailleau, Bogdan I. Iorga, Laurent Meijer, and Françoise Guéritte
J. Med. Chem. 2012, 55, 2811.
DOI: 10.1021/jm201727w

Abstract. The screening of the ICSN chemical
library on various disease-relevant protein kinases led to the
identification of natural flavonoidal alkaloids of unknown configuration
as potent inhibitors of the CDK1 and CDK5 kinases. We thus developed an
efficient and modular synthetic strategy for their preparation and that
of analogues in order to determine the absolute configuration of the
active natural flavonoidal alkaloids and to provide further insights on
the structure–activity relationships in this series. The structural
determinants of the interaction between some flavonoidal alkaloids with
specific kinases were also evaluated using molecular modeling.
xxxxxxxxxxxxxxxxxxxxxxxxxxxxxxxxxxxxxxxxxxxxxxxxxxxxxxxxxxxxxxxxxxxxxxxxxxxxxxxxx
Thanh Binh Nguyen, Qian Wang, and Françoise Guéritte
Chem. Eur. J. 2011, 17, 9576
DOI: 10.1002/chem.201101694
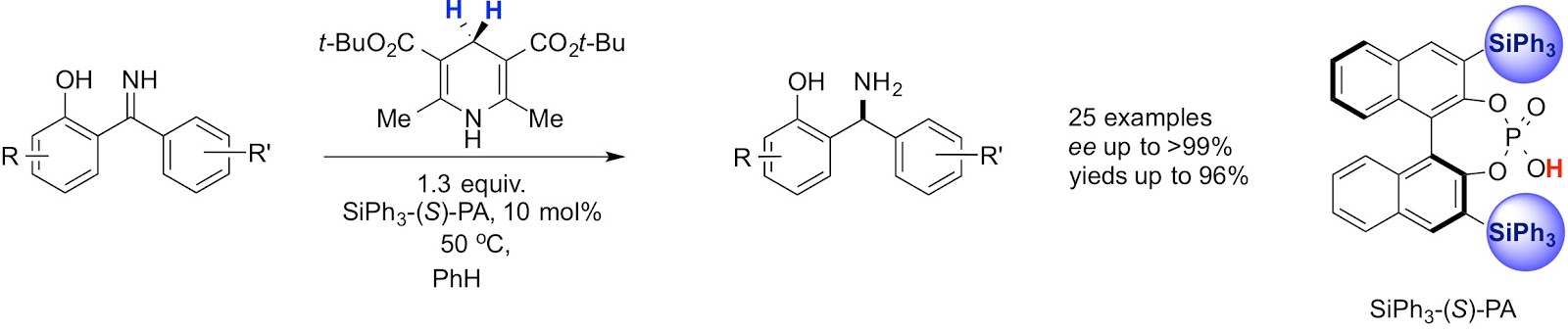
Abstract. Unprotected synthesis: The first enantioselective chiral phosphoric acid catalyzed transfer hydrogenation of unprotected ortho-hydroxybenzophenone N
H imines by using a Hantzsch ester as the hydrogen source afforded the corresponding chiral N,O-unprotected ortho-hydroxydiarylmethylamines in high yields with excellent enantioselectivities.
xxxxxxxxxxxxxxxxxxxxxxxxxxxxxxxxxxxxxxxxxxxxxxxxxxxxxxxxxxxxxxxxxxxxxxxxxxxxxxxxx
Thanh Binh Nguyen, Qian Wang, and Françoise Guéritte
Adv. Synth. Catal. 2011, 353, 257.
DOI:10.1002/adsc.201000754
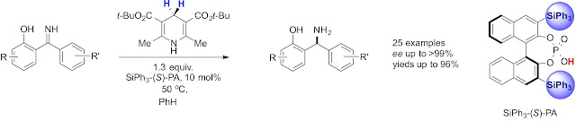
Thanh Binh Nguyen, Hadjira Bousserouel, Qian Wang, and Françoise Guéritte
Org. Lett., 2010, 12 (20), pp 4705–4707
DOI: 10.1021/ol102043x
Abstract. The first enantioselective chiral phosphoric acid-catalyzed transfer hydrogenation of unprotected ortho-hydroxyaryl alkyl N−H ketimines using Hantszch di-tert-butyl ester as a reductant is reported. A variety of ortho-hydroxybenzylamines were obtained in good to excellent yields and enantiomeric excesses.
xxxxxxxxxxxxxxxxxxxxxxxxxxxxxxxxxxxxxxxxxxxxxxxxxxxxxxxxxxxxxxxxxxxxxxxxxxxxxxxxx
Thanh Binh Nguyen, Qian Wang, and Françoise Guéritte
Eur. J. Org. Chem. 2011, 7076.
DOI: 10.1002/ejoc.201101312
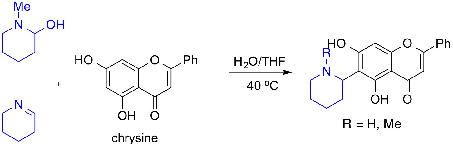
An efficient one-step synthesis of piperidin-2-yl
and pyrrolidin-2-yl flavonoid alkaloids was achieved in good to
excellent yields by a highly regioselective phenolic Mannich reaction of
chrysin with cyclic imines or iminium salts. Performing the reaction in
a mixture of H2O/THF in the absence of an external reagent
afforded the C-6 alkylated product exclusively. The same reaction in
water in the presence of NaOH provided the C-8 alkylated flavonoid as a
major product. The reaction has been successfully extended to simple
phenols.
xxxxxxxxxxxxxxxxxxxxxxxxxxxxxxxxxxxxxxxxxxxxxxxxxxxxxxxxxxxxxxxxxxxxxxxxxxxxxxxxx
13. Nguyen, T. B., Wang, Q.; Guéritte, F. Synth. Commun, 2012, 42, 2648.
"Practical Synthesis of N-Aryl-o-Hydroxyaryl Ketimines"
xxxxxxxxxxxxxxxxxxxxxxxxxxxxxxxxxxxxxxxxxxxxxxxxxxxxxxxxxxxxxxxxxxxxxxxxxxxxxxxxx
Publications prior to postdoc:
12. Nguyen, T. B.; Martel, A.; Dhal, R.; Dujardin, G. Org. Prep. Proc. Int. 2012, 44, 1.
"1,3-Dipolar
Cycloadditions of Nitrones to Hetero-substituted Alkenes Part 2: Sila-,
Thia-, Phospha- and Halo-substituted Alkenes"
11. Nguyen, T. B.; Martel, A.; Dhal, R.; Dujardin, G. Org. Prep. Proc. Int. 2010, 42, 387.
“1,3-Dipolar Cycloadditions of Nitrones to Heterosubsituted Alkenes – Part 1: Oxa and Aza-
Substituted Alkenes”
10. Nguyen, T. B.; Martel, A.; Dhal, R.; Dujardin, G. J. Org. Chem. 2010, 75, 611.
“Access to alpha-Substituted Amino Acid Derivatives via 1,3-Dipolar Cycloaddition of alpha-Amino Ester Derived Nitrones”
9. Nguyen, T. B.; Martel, A.; Dhal, R.; Dujardin, G. Synthesis 2009, 3174.
“A Large-Scale Low-Cost Preparation of N-Benzylhydroxylamine Hydrochloride”
8. Nguyen, T. B.; Martel, A.; Dhal, R.; Dujardin, G. Synlett. 2009, 15, 2492.
"N-(β,β-Difluorovinyl)oxazolidin-2-ones: First Synthesis and Application in [3+2]- and [4+2]-
Cycloaddition-Type Reactions"
7. Nguyen, T. B.; Martel, A.; Dhal, R.; Dujardin, G. Org. Lett. 2008, 10, 4493.
“N-Benzyl Aspartate Nitrones: Unprecedented Single-Step Synthesis and [3 + 2] Cycloaddition Reactions with Alkenes”
6. Nguyen, T. B.; Vuong, T. M. H.; Martel, A.; Dhal, R.; Dujardin, G. Tetrahedron: Asymmetry 2008, 19, 2084.
“Practical Asymmetric Access to Carboxy-Differentiated Aspartate Derivatives via 1,3-Dipolar Cycloaddition of a Nitrone with (R)-4-Ethyl-N-vinyloxazolidin-2-one”
5. Nguyen, T. B.; Martel, A.; Dhal, R.; Dujardin, G. Synlett 2008, 2041.
“Trimethylsilyl Trifluoromethanesulfonate-Mediated Addition-Cyclization of N-Vinyloxazolidin-2- ones to Nitrones: an Efficient Access to 4-Substituted-5-Aza-isoxazolidines”
4. Nguyen, T. B.; Martel, A.; Dhal, R.; Dujardin, G. J. Org. Chem. 2008, 73, 2621.
“1,3-Dipolar Cycloaddition of N-Substituted Dipolarophiles and Nitrones: Highly Efficient Solvent-Free Reaction”
3. Nguyen, T. B.; Gaulon, C.; Chapin, T.; Tardy, S.; Tatibouet, A.; Rollin, P.; Dhal, R.; Martel, A.; Dujardin, G. Synlett 2006, 3255.
“New N-Substituted Dipolarophiles in 1,3-Dipolar Cycloaddition of Nitrones”
2. Nguyen, T. B.; Castanet, A. S.; Nguyen, T. H.; Nguyen, K. P. P.; Bardeau, J. F.; Gibaud, A.; Mortier, J. Tetrahedron 2006, 62, 647.
“Synthesis of Model Long-Chain ω-Alkenyltrichlorosilanes and Triethoxysilanes for the Formation of Self-Assembled Monolayers”
1. Nguyen K. P. P.; Ton, T. Q.; Nguyen, T. B.; Jaureguiberry, G. Vietnamese J. Chem. 2004, 42, 366.
"Some Factors Which Could Induce the Imine – Enamine Tautomerism of Some Schiff Base Adducts of (±)-Gossypol”